
在環境監測分析方法標準的制訂與驗證中,《環境監測分析方法標準制訂技術導則》(HJ168-2020)明確了一系列關鍵指標,這些指標是判斷方法是否科學、可靠、適用的核心依據。方法驗證是標準落地前的 “關鍵考核環節”,直接影響監測數據的可信度。
本文聚焦方法驗證中的核心指標 ——檢出限、測定下限、精密度、正確度、不確定度、精密度、正確度等指標,結合標準原文展開詳細解讀。

HJ168-2020是環境監測方法的 “設計手冊”,所有用于水質、大氣、土壤等監測的分析方法(如氣相色譜法、分光光度法),都必須通過這些指標的 “考核” 才能成為標準方法。簡單說:
• 檢出限:決定方法 “能不能看見” 污染物(定性);
• 測定下限:決定方法 “能不能準確量出” 污染物(定量);
• 精密度:決定方法測出來的結果 “穩不穩定”(重復性);
• 正確度:決定方法測出來的結果 “偏不偏離真相”(準確性);
• 不確定度:決定方法測出來的結果 “可信范圍有多大”(結果分散性量化)
這些指標共同構成了監測數據的 “可靠性防線”。


定義
用特定分析方法在給定的置信度內可從樣品中定性檢出待測物質的最低濃度或最小量。
通俗理解:檢出限就像顯微鏡的“最小放大倍數”—— 只有污染物濃度達到這個“倍數”,你才能確定“哦,這里有污染物”;如果低于這個濃度,就只能說“沒看見”,沒法確定有沒有。
• 定性屬性:只判斷“有/無”,不保證“量準”;
• 置信度要求:默認99%置信度(即“有99%的把握不是誤判”);
• 與儀器檢出限的區別:方法檢出限包含樣品前處理(如萃取、濃縮)的損失,比儀器檢出限(僅儀器本身)更高,更貼近實際監測場景。

確定方法和計算公式
1)空白試驗中檢測出目標物
按照樣品分析的全部步驟,重復n(n≥7)次空白試驗(以各類便攜式、集成式儀器為基礎建立的方法標準應根據儀器的性能盡可能增加重復測定次數),將各測定結果換算為樣 品中的濃度或含量,計算n次平行測定的標準偏差。用多次測定的波動范圍(標準偏差),乘以統計系數(t值),確保 99%置信度下能檢出。
MDL=t(n−1,0.99)×S
t(n−1,0.99):自由度為n−1(n為平行測定次數)、置信度 99% 的單側 t 分布值(查表 A.1,如n=7時,t=3.143)

S:n次平行測定結果的標準偏差(反映數據波動)
2)空白試驗中未檢測出目標物
按照樣品分析的全部步驟,對濃度值或含量為估計方法檢出限值3~5倍的樣品進行n(n≥7)次平行測定。計算n次平行測定的標準偏差,按上述公式計算方法檢出限。MDL值計算出來后,應判斷其合理性。

意義
用于判斷“樣品中是否含有目標物”(如某污染物標準限值為0.05 mg/L,若方法 MDL=0.03 mg/L,則能檢出接近限值的污染物;若MDL=0.1mg/L,則無法檢出限值附近的污染物,方法不適用。)


定義
在限定誤差能滿足預定要求的前提下,用特定分析方法能夠準確定量測定待測物質的最低濃度或最小量。
與檢出限的核心區別
| 指標 | 精度 | 誤差要求 | 應用場景 |
| 檢出限 | 定性 | 無嚴格誤差要求 | 篩查、應急監測(如判斷是否超標) |
| 測定下限 | 定量 | 誤差≤20%(通常) | 常規監測(如報具體濃度值) |
計算公式
通用規則:測定下限=4×檢出限
(因4倍MDL時,相對標準偏差通常≤20%,滿足定量誤差要求)
意義
決定方法“能不能用于常規監測”:若某污染物排放標準限值為0.1 mg/L,而方法測定下限=0.12mg/L,則無法準確測定限值附近的濃度,方法不適用。
一圖總結


定義
在規定條件下,獨立測試結果間的一致程度。
通俗理解:精密度就像做蛋糕:如果同一個人用同一套配方,每次做出來的口感、重量都差不多,說明“精密度好”;如果這次甜、下次淡,這次重 200g、下次重 150g,就是“精密度差”。
• 定量表征:相對標準偏差RSD
• 重復性:同一實驗室、同一操作者、相同儀器、相同條件,僅時間不同;
• 再現性:不同實驗室、不同操作者、相同儀器、相同條件,實驗室、人員不同(如全國驗證)。

確定方法和計算公式
1)確定方法
• 濃度選擇:高(校準曲線上限 90%)、中(曲線中點)、低(測定下限附近)3 個濃度;
• 測定要求:每個濃度平行測 6 次,全流程操作(含前處理);
• 數據匯總:計算各實驗室的 RSD,以及實驗室間的 RSD、重復性限r、再現性限R。
若使用統一樣品,需計算 “實驗室間相對標準偏差”“重復性限(r)”“再現性限(R)”(重復性限指同一實驗室兩次結果差值≤r 的概率為 95%,再現性限同理);
若使用非統一樣品,需給出各實驗室的 RSD 范圍。
2)實驗室內相對標準偏差(重復性的核心指標)
對某一水平濃度的樣品在第i個實驗室內進行n次平行測定,實驗室內相對標準偏差按如下公式進行計算。

xi:某實驗室對某濃度樣品的n次平行測定均值;
Si:該實驗室測定結果的標準偏差。
3)實驗室間相對標準偏差
對某一水平濃度的樣品在l個實驗室內進行測定,實驗室間相對標準偏差按如下公式進行計算。

x:l個實驗室對某一濃度水平樣品測試的平均值;
S’:實驗室間標準偏差。
4)重復性限(r)與再現性限(R):“允許的最大差值”
對某一水平濃度的樣品進行l 個實驗室的驗證實驗,每個實驗室平行測定n 次,按如下公式進行重復性限r 和再現性限R 的計算:


定義
多次重復測量所測得的量值的平均值與一個參考量值的一致程度。
很多人會混淆 “正確度” 和 “準確度”,HJ 168 明確了兩者的關系:
• 準確度:測得值與真值的一致程度。(準確度由正確度和精密度兩個指標進行表征。既看均值偏倚,也看數據分散。)
• 正確度:只看均值與參考值的偏差,不看數據分散。

• 正確度高:子彈都打在靶心附近(均值準);
• 精密度高:子彈都打在同一區域(分散小);
• 準確度高:子彈既集中(精密度高)又靠近靶心(正確度高)。
計算公式
正確度用“相對誤差”(對標樣)和“加標回收率”(對實際樣品)衡量,這是最常用的兩個指標。
有證標準物質/標準樣品的測定:各驗證實驗室采用高、中、低3個不同濃度或含量(與精密度驗證相同)的統一樣品,按全程序每個樣品至少平行測定6次,分別計算各濃度或含量樣品的相對誤差。
• 相對誤差:


實際樣品的測定:各驗證實驗室應對適用范圍內每個樣品類型的1~3個濃度或含量的樣品中分別加入一定量的有證標準物質/標準樣品進行測定(樣品有檢出時,加標濃度應為樣品濃度的0.5~3倍;樣品未檢出時, 加標濃度應盡可能包含適用的生態環境質量標準、生態環境風險管控標準、污染物排放標準限值的濃度),按全程序每個加標樣品至少平行測定6次,分別計算各類型樣品中各濃度或含量樣品的加標回收率。
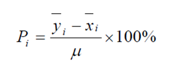
• 加標回收率:

xi:實際樣品的本底濃度均值(未加標);
yi:加標后樣品的濃度均值;
μ:加標量(要求:加標后濃度≤校準曲線上限,且加標量為原濃度的 0.5~3 倍)



通常回收率在 80%~120% 之間。